当前位置:总站/子站/麻步雷渎温氏/钱仓房涯元公派
加载中,请稍等...

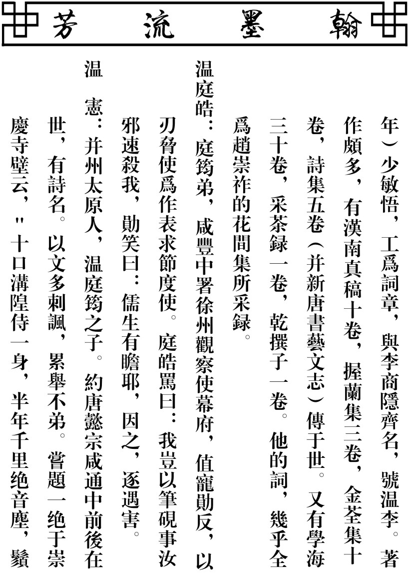
太原郡温氏宗譜

雷凟涯元公派世系 二〇二四年甲辰重修

五服支圖

雷凟涯元公派世系
  • 第一世
  • 第二世
  • 第三世
  • 第四世
  • 第五世
  • 始祖

    涯元

    日任公次子
    字再衷
    配劉氏
    生卒俱失考
    生子一
    合葬十九都大洞垟嶺貓洗面坐南向北

    • 悦槐

      配廖氏
      生卒俱失考
      生子二
      合葬雞岑山
      公當明末清初之際天下多事不自量之陳倉從而謀逆公以倉爲賢扶之卒致公元一六五〇年順治庚寅八月十五之變
      • 長房

        士淡

        字行簡
        生於一六三二年崇禎壬申六月初一日申時
        卒於一七〇六年康熙丙戌二月廿四日寅時
        享壽七十五歲配許氏
        生於一六三八年崇禎戊寅
        卒於一七〇六
        • 國治

          字世評
          生於一六六五年康熙乙巳正月初七日未時
          卒於一七二八年雍正戊申正月十八日未時享壽六十四歲
          配徐氏
          生於一六七二年康熙壬子七月初八日戌時
          • 錫道

            7
            長房一
          • 錫英

            7
            長房二
          • 錫顏

            長房三
            生卒俱失考
            附葬四叔墳
          • 錫斗

            9
            長房四